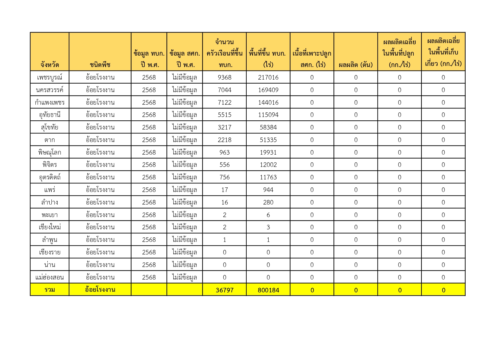
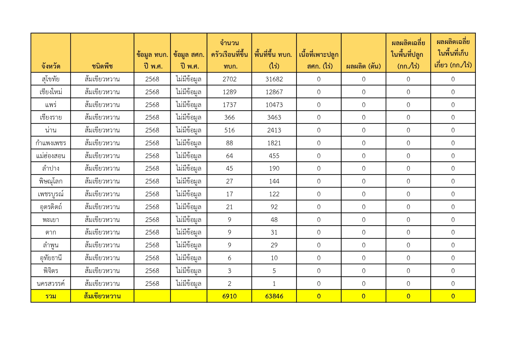
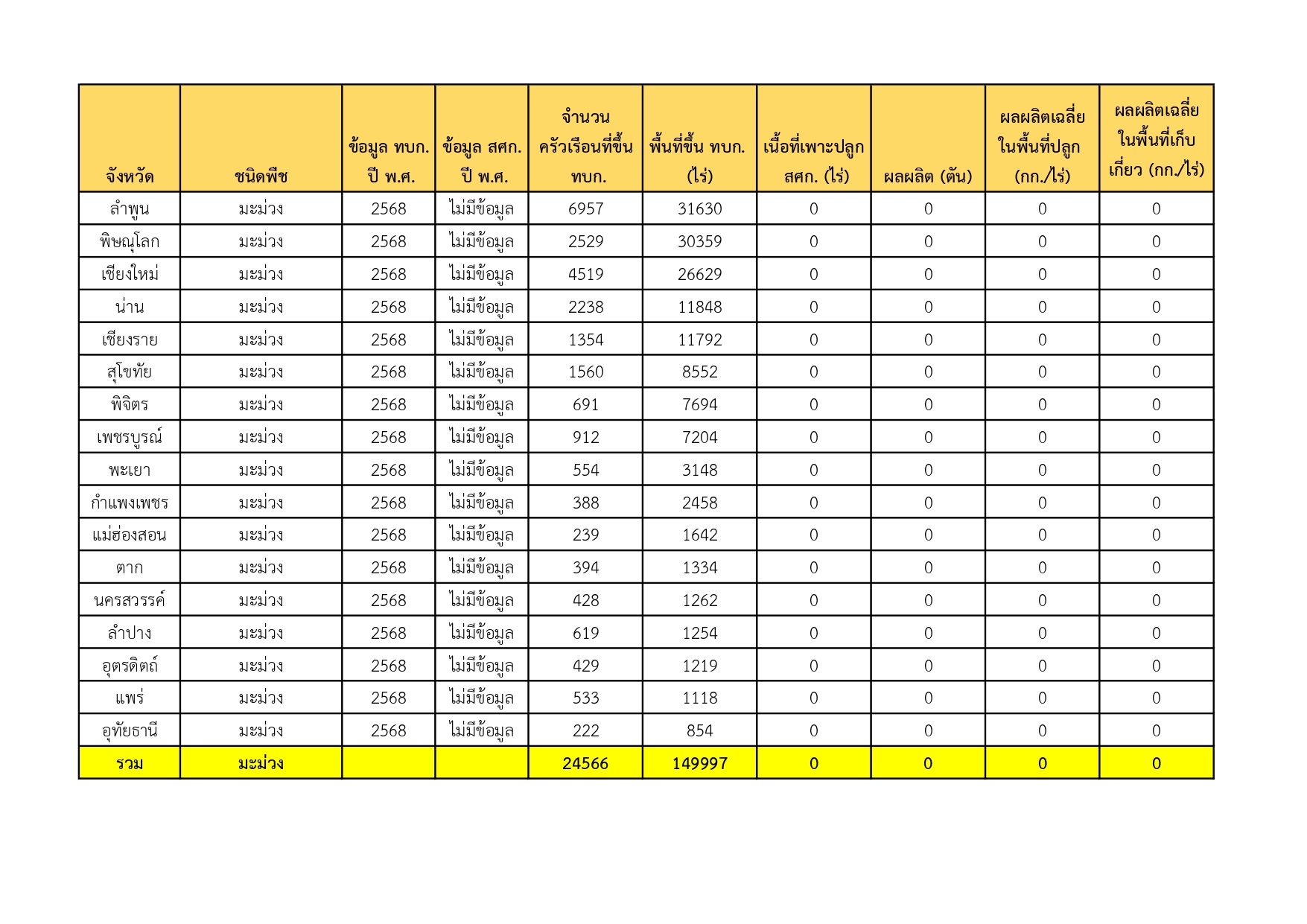
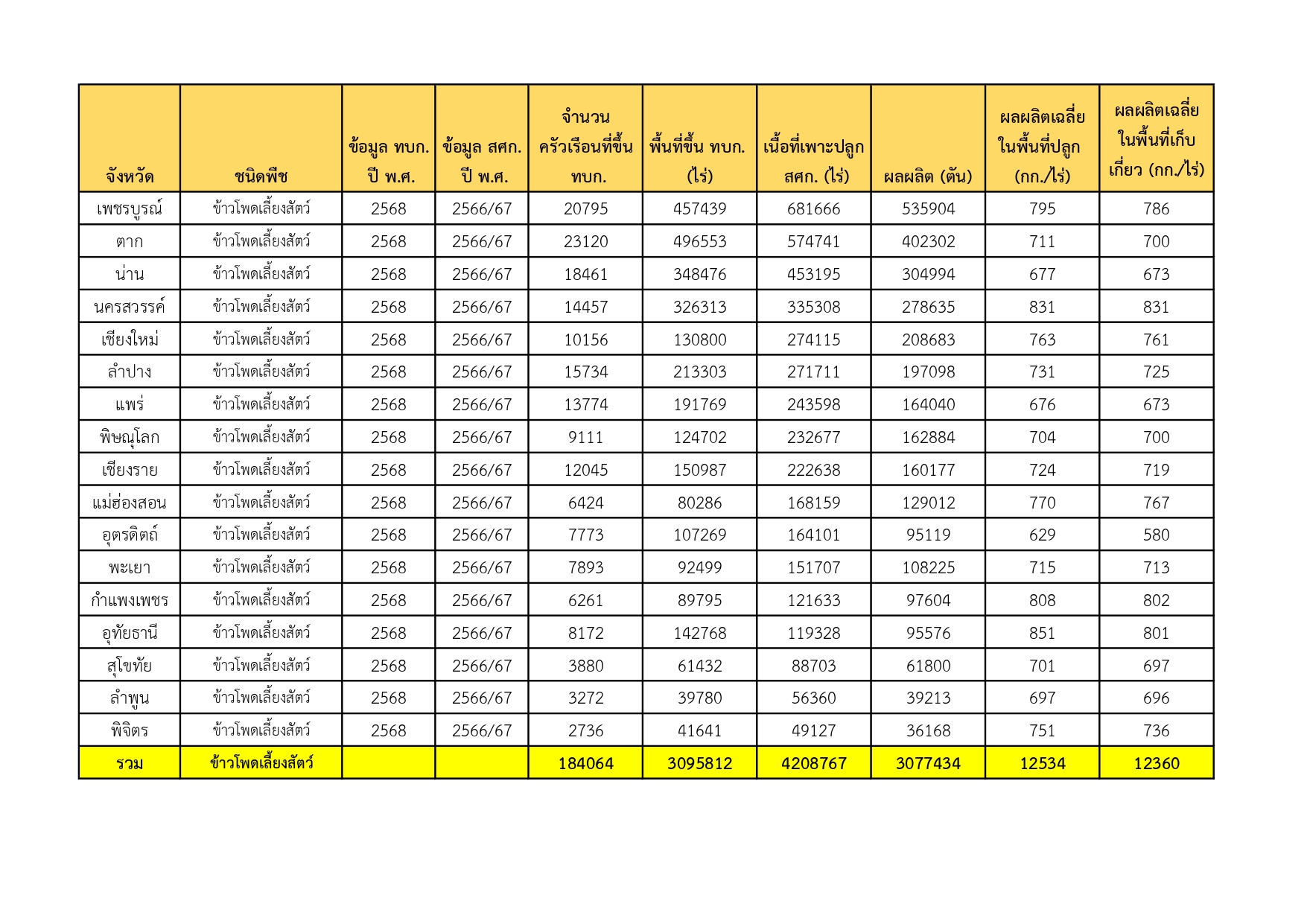
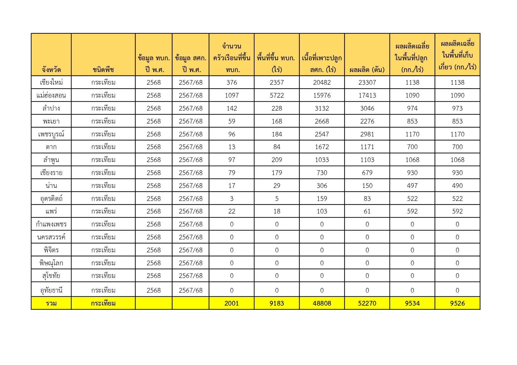
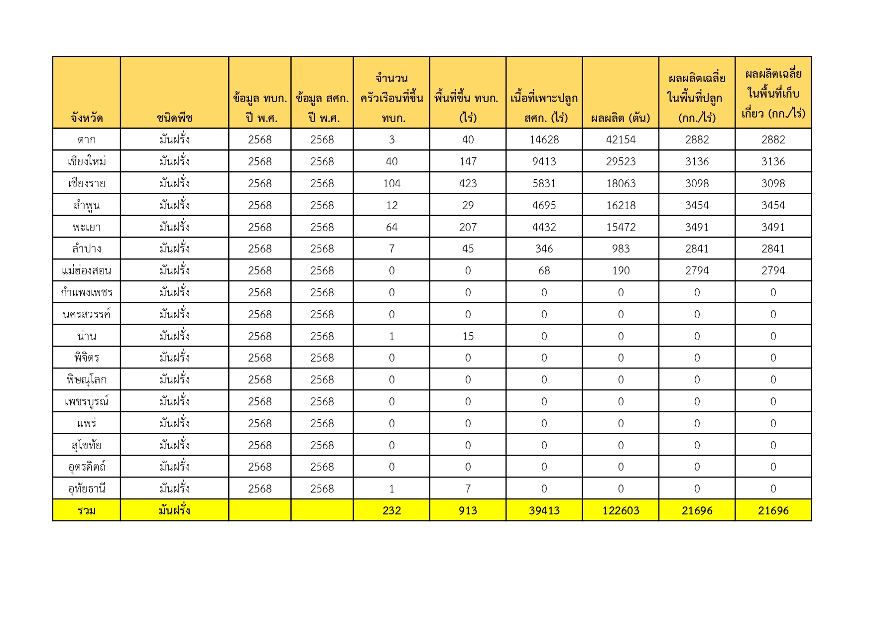
ข้อมูลสารสนเทศการเกษตรด้านพืช ภาคเหนือ DOWNLOAD DATA กระเทียม กาแฟ ข้าวนาปรัง ข้าวนาปี ข้าวโพดเลี้ยงสัตว์ เงาะ ชา ถั่วเหลือง ทุเรียน ปาล์มน้ำมัน มะพร้าว มะม่วง มันฝรั่ง มันสำปะหลัง ยางพารา ลำไย ลิ้นจี่ ส้มเขียวหวาน สับปะรด หอมแดง หอมหัวใหญ่ อโวกาโด อ้อยโรงงาน